🔍
《秦腔即兴曲》简介和歌词
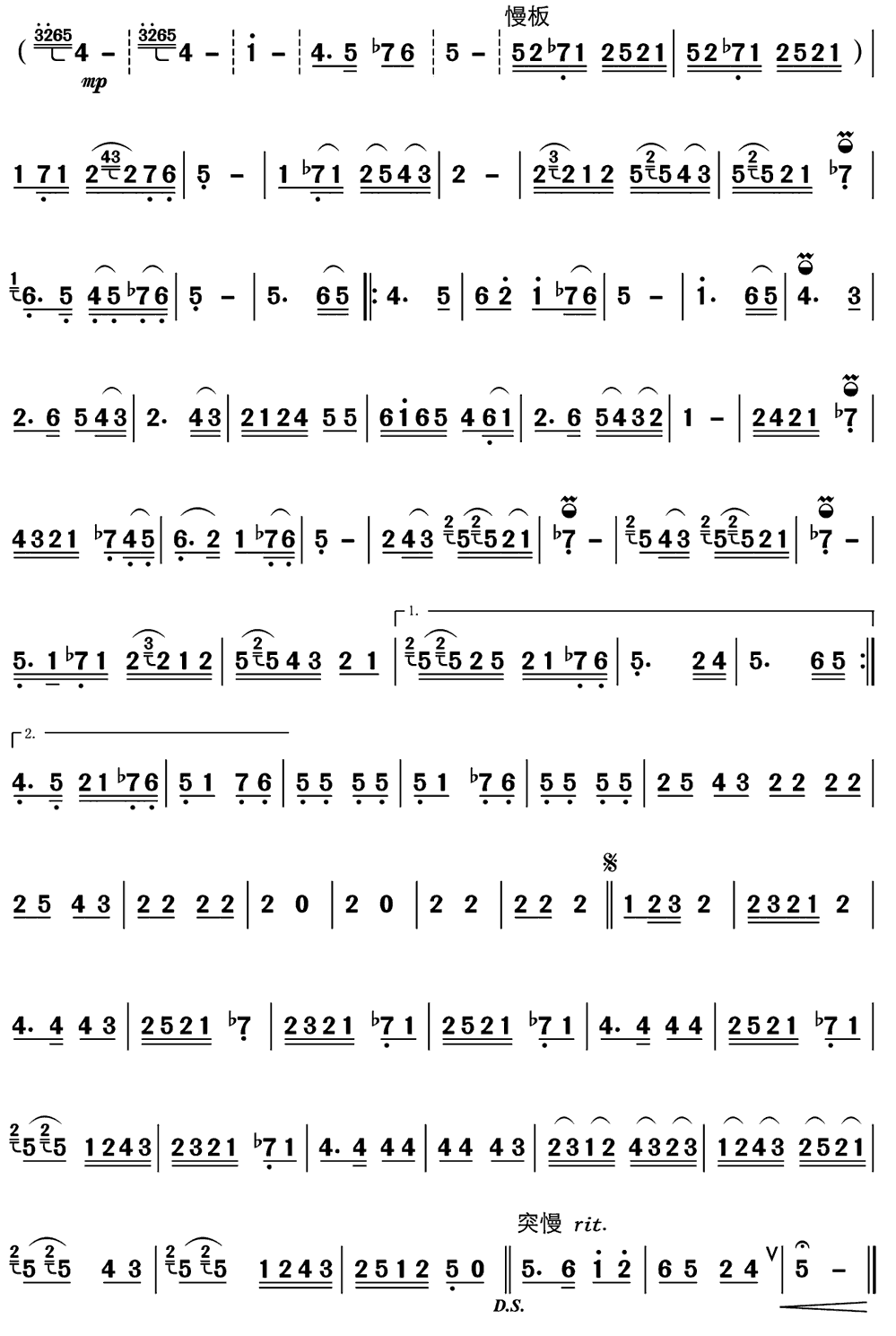
《秦腔即兴曲》简谱 笛子独奏完整版
作词:
无
作曲:
安爱民(安彪)
演唱:
唢呐独奏曲
更新时间:2025-11-25 17:58:10